Für lineare Systeme gilt das Superpositionsgesetz:
Das heißt das sich die Lösungen addieren. Dazu kommt noch das Homogenitätsdprinzip:
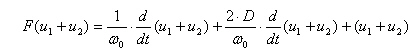
Für einen Feder-Masse-Schwinger gilt:



Das homogenitätsprinzip gilt:

Der Feder-Masse-Schwinger ist ein lineares System. Die Differentiation ist linear. In dem folgenden Applet ist die Superposition dagestellt. Als erstes kommt die rechteckförmige blaue Anregung und die blaue Systemantwort. Danach kommt das grüne rampenförmige Signal, das auch als Antwortsignal grün ist. Auf der rechten Seite ist eine Kurve orange eingezeichnet. Es ist die Überlagerung dieser Systemantworten. Da das Superpositionsprinzip gilt, ist die Systematwort der roten Überlagerungen der Systematwort auf Rechteck- und Rampensignal deckungsgleich mit der orangenen Kurve.
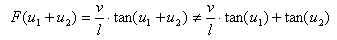
Neben den linearen Systemen gibt es auch die nichtlinearen Systeme. Als Beispiel die Differentialgleichung eines Fahrzeugs:
Das System ist nichtlinear und folgt nicht dem Superpositionsgesetz:
Für dieses System ist das Rechtecksignal auch blau und die Rampe grün. Die Summe der Antworten ist auch orange. Man sieht das das Superpositionsgesetz nicht gilt: